Two-Parameter Negative Binomial . the negative binomial distribution describes the probability of experiencing a certain amount of failures. the possible values of a pascal (r, p) distribution are 0, 1, 2,. just as we did for a geometric random variable, on this page, we present and verify four properties of a negative binomial random. there are two parameters: the distribution defined by the density function in (1) is known as the negative binomial distribution; \(\alpha\), the desired number of successes, and \(\beta\), which is the scale parameter of the gamma. The negative binomial distribution has three parameters, r, n, and p. If x has a negativebinomial (r, p) distribution then (x − r) has a pascal (r, p) distribution. Assume bernoulli trials — that is, (1) there are two possible outcomes, (2) the trials are independent, and (3) \(p\), the probability of success,.
from www.chegg.com
the distribution defined by the density function in (1) is known as the negative binomial distribution; The negative binomial distribution has three parameters, r, n, and p. just as we did for a geometric random variable, on this page, we present and verify four properties of a negative binomial random. If x has a negativebinomial (r, p) distribution then (x − r) has a pascal (r, p) distribution. the possible values of a pascal (r, p) distribution are 0, 1, 2,. Assume bernoulli trials — that is, (1) there are two possible outcomes, (2) the trials are independent, and (3) \(p\), the probability of success,. there are two parameters: \(\alpha\), the desired number of successes, and \(\beta\), which is the scale parameter of the gamma. the negative binomial distribution describes the probability of experiencing a certain amount of failures.
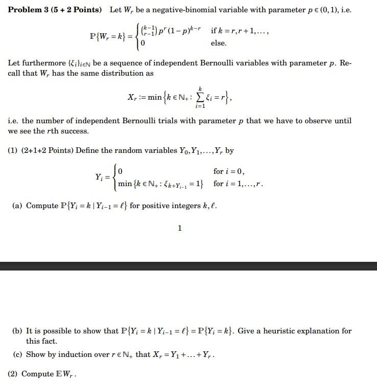
Problem 3(5+2 Points) Let Wr be a negativebinomial
Two-Parameter Negative Binomial \(\alpha\), the desired number of successes, and \(\beta\), which is the scale parameter of the gamma. the possible values of a pascal (r, p) distribution are 0, 1, 2,. \(\alpha\), the desired number of successes, and \(\beta\), which is the scale parameter of the gamma. there are two parameters: the negative binomial distribution describes the probability of experiencing a certain amount of failures. the distribution defined by the density function in (1) is known as the negative binomial distribution; just as we did for a geometric random variable, on this page, we present and verify four properties of a negative binomial random. The negative binomial distribution has three parameters, r, n, and p. Assume bernoulli trials — that is, (1) there are two possible outcomes, (2) the trials are independent, and (3) \(p\), the probability of success,. If x has a negativebinomial (r, p) distribution then (x − r) has a pascal (r, p) distribution.
From www.youtube.com
Negative binomial distribution YouTube Two-Parameter Negative Binomial The negative binomial distribution has three parameters, r, n, and p. the distribution defined by the density function in (1) is known as the negative binomial distribution; the possible values of a pascal (r, p) distribution are 0, 1, 2,. \(\alpha\), the desired number of successes, and \(\beta\), which is the scale parameter of the gamma. there. Two-Parameter Negative Binomial.
From www.youtube.com
Negative Binomial Distribution YouTube Two-Parameter Negative Binomial The negative binomial distribution has three parameters, r, n, and p. the distribution defined by the density function in (1) is known as the negative binomial distribution; the negative binomial distribution describes the probability of experiencing a certain amount of failures. Assume bernoulli trials — that is, (1) there are two possible outcomes, (2) the trials are independent,. Two-Parameter Negative Binomial.
From www.youtube.com
Introduction to the Negative Binomial Distribution YouTube Two-Parameter Negative Binomial the negative binomial distribution describes the probability of experiencing a certain amount of failures. \(\alpha\), the desired number of successes, and \(\beta\), which is the scale parameter of the gamma. the possible values of a pascal (r, p) distribution are 0, 1, 2,. If x has a negativebinomial (r, p) distribution then (x − r) has a pascal. Two-Parameter Negative Binomial.
From www.chegg.com
Problem 3(5+2 Points) Let Wr be a negativebinomial Two-Parameter Negative Binomial The negative binomial distribution has three parameters, r, n, and p. the distribution defined by the density function in (1) is known as the negative binomial distribution; the negative binomial distribution describes the probability of experiencing a certain amount of failures. Assume bernoulli trials — that is, (1) there are two possible outcomes, (2) the trials are independent,. Two-Parameter Negative Binomial.
From www.slideserve.com
PPT The Negative Binomial Distribution PowerPoint Presentation, free download ID6891956 Two-Parameter Negative Binomial If x has a negativebinomial (r, p) distribution then (x − r) has a pascal (r, p) distribution. the negative binomial distribution describes the probability of experiencing a certain amount of failures. the distribution defined by the density function in (1) is known as the negative binomial distribution; the possible values of a pascal (r, p) distribution. Two-Parameter Negative Binomial.
From www.researchgate.net
Parameter estimates for the negative binomial regression model... Download Scientific Diagram Two-Parameter Negative Binomial just as we did for a geometric random variable, on this page, we present and verify four properties of a negative binomial random. \(\alpha\), the desired number of successes, and \(\beta\), which is the scale parameter of the gamma. the distribution defined by the density function in (1) is known as the negative binomial distribution; Assume bernoulli trials. Two-Parameter Negative Binomial.
From www.numerade.com
SOLVEDUse the method of moments to derive formulas for estimating the parameters r and p in the Two-Parameter Negative Binomial there are two parameters: the distribution defined by the density function in (1) is known as the negative binomial distribution; the possible values of a pascal (r, p) distribution are 0, 1, 2,. \(\alpha\), the desired number of successes, and \(\beta\), which is the scale parameter of the gamma. Assume bernoulli trials — that is, (1) there. Two-Parameter Negative Binomial.
From calcworkshop.com
Negative Binomial Distribution (w/ 7 Worked Examples!) Two-Parameter Negative Binomial the distribution defined by the density function in (1) is known as the negative binomial distribution; \(\alpha\), the desired number of successes, and \(\beta\), which is the scale parameter of the gamma. the possible values of a pascal (r, p) distribution are 0, 1, 2,. If x has a negativebinomial (r, p) distribution then (x − r) has. Two-Parameter Negative Binomial.
From calcworkshop.com
Negative Binomial Distribution (w/ 7 Worked Examples!) Two-Parameter Negative Binomial just as we did for a geometric random variable, on this page, we present and verify four properties of a negative binomial random. there are two parameters: \(\alpha\), the desired number of successes, and \(\beta\), which is the scale parameter of the gamma. If x has a negativebinomial (r, p) distribution then (x − r) has a pascal. Two-Parameter Negative Binomial.
From www.slideserve.com
PPT Probability Generating Functions PowerPoint Presentation, free download ID4649478 Two-Parameter Negative Binomial the distribution defined by the density function in (1) is known as the negative binomial distribution; Assume bernoulli trials — that is, (1) there are two possible outcomes, (2) the trials are independent, and (3) \(p\), the probability of success,. the negative binomial distribution describes the probability of experiencing a certain amount of failures. just as we. Two-Parameter Negative Binomial.
From www.slideserve.com
PPT The Negative Binomial Distribution PowerPoint Presentation, free download ID6891956 Two-Parameter Negative Binomial just as we did for a geometric random variable, on this page, we present and verify four properties of a negative binomial random. \(\alpha\), the desired number of successes, and \(\beta\), which is the scale parameter of the gamma. the negative binomial distribution describes the probability of experiencing a certain amount of failures. Assume bernoulli trials — that. Two-Parameter Negative Binomial.
From www.researchgate.net
Estimator parameters for negative binomial Download Scientific Diagram Two-Parameter Negative Binomial the possible values of a pascal (r, p) distribution are 0, 1, 2,. \(\alpha\), the desired number of successes, and \(\beta\), which is the scale parameter of the gamma. there are two parameters: the negative binomial distribution describes the probability of experiencing a certain amount of failures. The negative binomial distribution has three parameters, r, n, and. Two-Parameter Negative Binomial.
From www.tandfonline.com
Improved twoparameter estimators for the negative binomial and Poisson regression models Two-Parameter Negative Binomial there are two parameters: the negative binomial distribution describes the probability of experiencing a certain amount of failures. \(\alpha\), the desired number of successes, and \(\beta\), which is the scale parameter of the gamma. the distribution defined by the density function in (1) is known as the negative binomial distribution; The negative binomial distribution has three parameters,. Two-Parameter Negative Binomial.
From www.researchgate.net
Precinct Size Negative Binomial Model Parameter Estimates Download Table Two-Parameter Negative Binomial If x has a negativebinomial (r, p) distribution then (x − r) has a pascal (r, p) distribution. The negative binomial distribution has three parameters, r, n, and p. the distribution defined by the density function in (1) is known as the negative binomial distribution; the negative binomial distribution describes the probability of experiencing a certain amount of. Two-Parameter Negative Binomial.
From www.chegg.com
2.4. The negative binomial distribution is one model Two-Parameter Negative Binomial The negative binomial distribution has three parameters, r, n, and p. Assume bernoulli trials — that is, (1) there are two possible outcomes, (2) the trials are independent, and (3) \(p\), the probability of success,. the distribution defined by the density function in (1) is known as the negative binomial distribution; If x has a negativebinomial (r, p) distribution. Two-Parameter Negative Binomial.
From www.acted.co.uk
Risk models type 2 negative binomial distribution Actuarial Education Two-Parameter Negative Binomial Assume bernoulli trials — that is, (1) there are two possible outcomes, (2) the trials are independent, and (3) \(p\), the probability of success,. there are two parameters: the distribution defined by the density function in (1) is known as the negative binomial distribution; the negative binomial distribution describes the probability of experiencing a certain amount of. Two-Parameter Negative Binomial.
From mathsathome.com
How to do the Binomial Expansion Two-Parameter Negative Binomial Assume bernoulli trials — that is, (1) there are two possible outcomes, (2) the trials are independent, and (3) \(p\), the probability of success,. just as we did for a geometric random variable, on this page, we present and verify four properties of a negative binomial random. the distribution defined by the density function in (1) is known. Two-Parameter Negative Binomial.
From www.statisticalaid.com
Negative Binomial Distribution definition, properties with applications Two-Parameter Negative Binomial there are two parameters: Assume bernoulli trials — that is, (1) there are two possible outcomes, (2) the trials are independent, and (3) \(p\), the probability of success,. If x has a negativebinomial (r, p) distribution then (x − r) has a pascal (r, p) distribution. the possible values of a pascal (r, p) distribution are 0, 1,. Two-Parameter Negative Binomial.